Facebook
Youtube
Twitter
Linkedin
Pinterest
Whatsapp
Contact
Connexion
Ligue Associative Africaine
Ensemble réalisons la Fusion Africain
Appelez nous
+237 696 36 65 02
Ecrivez nous
contact@ligueaa.org
Accueil
Qui sommes-nous?
Statut
Historique
Nos activités
Objectifs
Domaines d'intervention
Localisation
Partenaires
Nos projets
Actualité
Boutique
Publications
Education
Education Conventionnelle
Etudes Panafricaines
Répétitions
Tarifs
Formations en ligne
Tests & Examens
Dossier
Rapports
Résumés d'ouvrages
Audios
Vidéos
Les pensées d'Afrique
Prendre part
Devenir membre
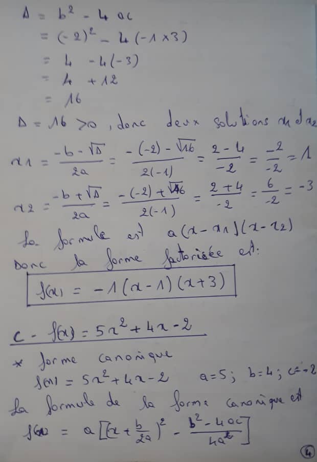
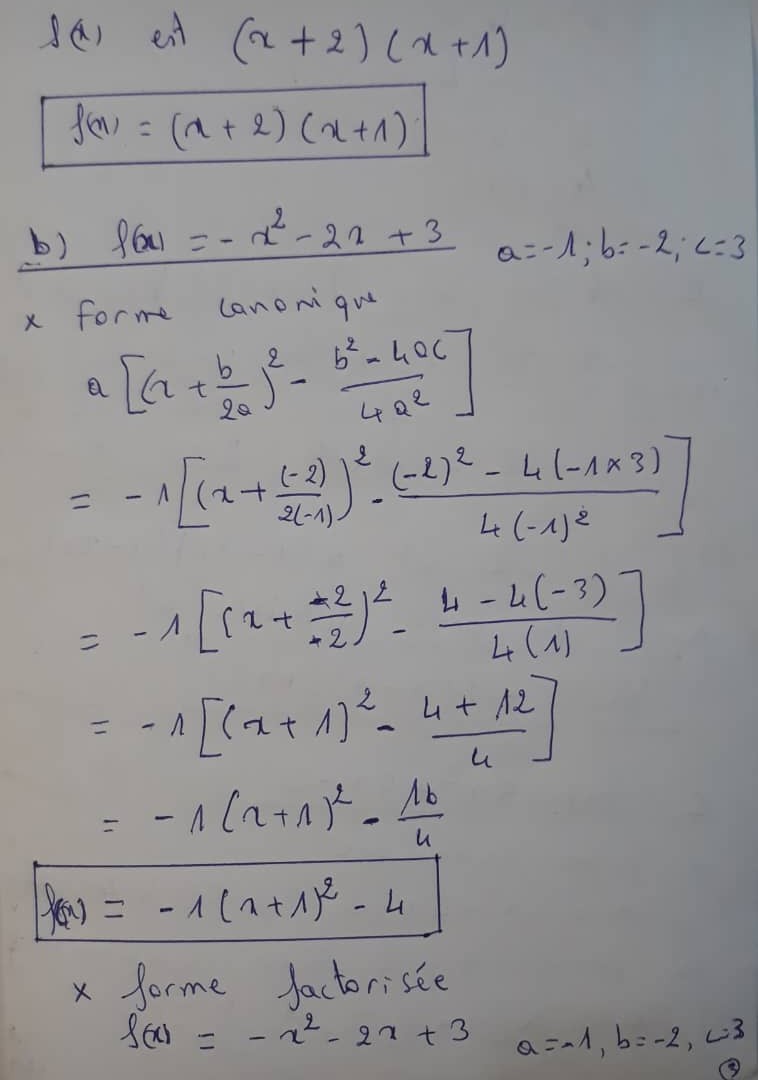
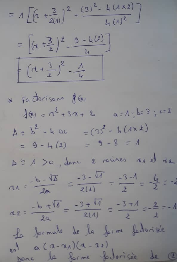
Correction des exercices du livre de mathématiques de la 1ère A4, Équations et inéquations du second degré
09/07/2025
Correction des épreuves, exercices et TD Mathématiques 1ère A4
Yemele Fometio
Commentaires (0)
Laisser un commentaire
Publier
Aucun commentaire pour le moment. Soyez le premier à commenter !
Articles recents
Le Zimbabwe refuse un accord sanitaire “déséquilibré” : vers une souveraineté africaine de la santé
26/02/2026
Soudan : la guerre des drones ou la guerre du pétrole ?
26/02/2026
Présidentielle 2026 au Bénin : Talon, partir pour mieux rester ?
26/02/2026
Anicet Ekane : la mort naturelle ?
25/02/2026
AES : Héritage, stratégie et devoir révolutionnaire
24/02/2026
Investissez
dans nos entreprises
et
augmentez vos revenus
Nom*
Prenom
Email
Téléphone
Montant (en dollard USD)*
Commentaires (0)
Laisser un commentaire