Travaux Dirigés Math 1ère D fiche 2 (Fonctions : Generalités et études)
THEME 2 : Fonctions : Généralités et Etudes
EVALUATION DES RESSOURCES ET SAVOIRS
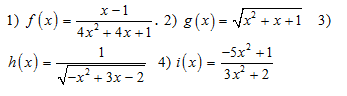
Exercice 1 :
Exercice 1. Déterminer le domaine de définition des fonctions suivantes :

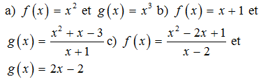
Exercice 2 : position relative de courbes

Etudier la position relative des courbes de fonctions f et g dans chacun des cas suivants :
|
|

Exercice 4 :
Les courbes suivantes peuvent-elles représenter une fonction ?
|
|


Exercice 5 :

Exercice 6 :

Exercice 7 :

Exercice 8 :


Exercice 10

Exercice 11 :

Exercice 12 :

Exercice 13 :

Exercice 14 :

Exercice 16 :
|
Exercice 17 :

Exercice 18 :

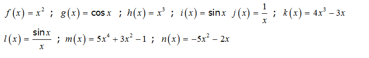
Exercice 19 : comparaison de fonctions

Exercice 20 : majorant minorant

Exercice 21 : parité des fonctions

Exercice 22 :

Exercice 23 :

Exercice 24 :

Exercice 25 :

ACTIVITES D’INTEGRATION
Exercice 26 :

Exercice 27 :

Exercice 28 :

Exercice 29 :

EXERCICES COMPLEMENTAIRES (Barycentre cercle et Equations-inéquations)
Exercice 1


Exercice 3

Exercice 4

Proposé par : Y.G.C.







Commentaires (0)
Laisser un commentaire