Facebook
Youtube
Twitter
Linkedin
Pinterest
Whatsapp
Contact
Connexion
Ligue Associative Africaine
Ensemble réalisons la Fusion Africain
Appelez nous
+237 696 36 65 02
Ecrivez nous
contact@ligueaa.org
Accueil
Qui sommes-nous?
Statut
Historique
Nos activités
Objectifs
Domaines d'intervention
Localisation
Partenaires
Nos projets
Actualité
Boutique
Publications
Education
Education Conventionnelle
Etudes Panafricaines
Répétitions
Tarifs
Formations en ligne
Tests & Examens
Dossier
Rapports
Résumés d'ouvrages
Audios
Vidéos
Les pensées d'Afrique
Prendre part
Devenir membre
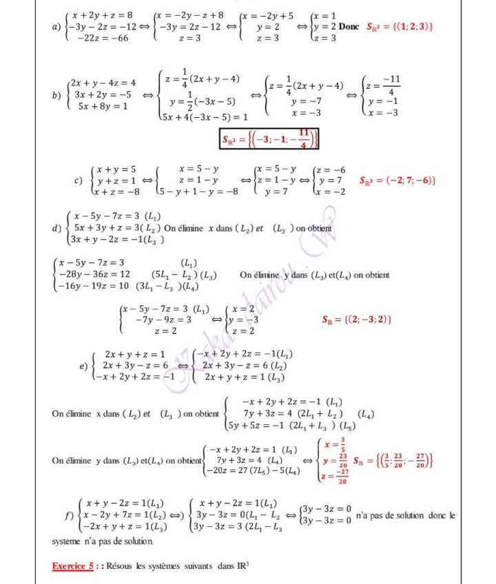
Systèmes de trois équations linéaires à trois inconnus
25/12/2024
Cours Mathématiques 1ère C
Groupe le scorpion
Articles recents
Après la tempête de l’arrestation, le bal diplomatique : qui perdra la main ?
11/01/2026
Quel panafricanisme aujourd’hui ? Bilan de 12 ans d’existence de la Ligue Associative Africaine
10/01/2026
Remaniement ministériel : une diversion de plus dans la longue agonie du régime Biya
05/01/2026
Venezuela : l’impérialisme américain humilié par l’Histoire
05/01/2026
La chute de Maduro : l’AES comme prochaine cible
04/01/2026
Investissez
dans nos entreprises
et
augmentez vos revenus
Nom*
Prenom
Email
Téléphone
Montant (en dollard USD)*